√ Balancing Redox Reactions Worksheet / Balancing Redox Reactions Answer Sheet Name Balancing Redox Reactions Part A Balance The Following Equations Using Oxidation Numbers Underline The Course Hero : In this redox worksheet, students learn how to balance equations. - gonaalone

Sabtu, 27 Maret 2021

Balancing Redox Reactions Worksheet / Balancing Redox Reactions Answer Sheet Name Balancing Redox Reactions Part A Balance The Following Equations Using Oxidation Numbers Underline The Course Hero : In this redox worksheet, students learn how to balance equations.

Balancing Redox Reactions Worksheet / Balancing Redox Reactions Answer Sheet Name Balancing Redox Reactions Part A Balance The Following Equations Using Oxidation Numbers Underline The Course Hero : In this redox worksheet, students learn how to balance equations.. Balancing of a redox reaction by ion electrons method : Worksheet # 5 balancing redox reactions in acid and basic solution balance each half reaction in basic solution. Balancing redox reactions can be a nightmare for a student trying to pass a chemistry examination. That will not create a problem. In this procedure, we split the equation into two halves.

Be able to separate a redox reaction. Thereafter, we balance both the parts of the reaction separately. Balancing a redox reaction in either acidic or basic medium. The most important step is identifying whether or not a redox reaction is actually. In the first redox reaction worksheet, we saw the oxidation number method of balancing equations.

35 Oxidation Reduction Reactions Worksheet Answers Worksheet Resource Plans
35 Oxidation Reduction Reactions Worksheet Answers Worksheet Resource Plans from ecdn.teacherspayteachers.com
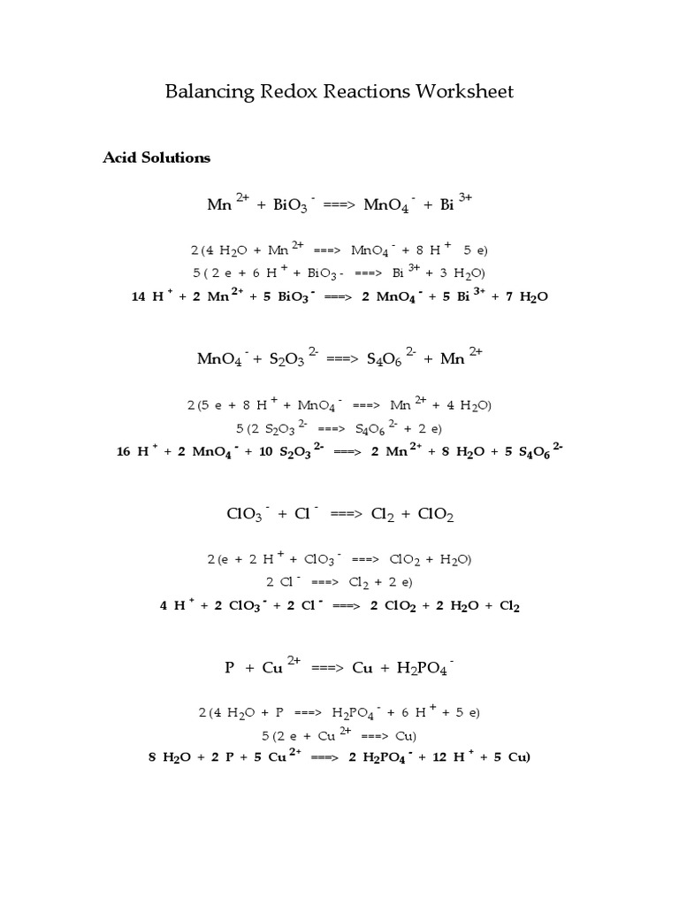
Examples of how to balance redox reactions in acids and bases are given as well as directions for the procedure. At this point, you need to begin balancing hydrogen atoms by adding hydrogen ions (h+) to one side of. Oxidation/reduction (redox) reactions can be balanced using the oxidation state changes, as seen in the previous example. Reactant that is the reducing agent: Read on to learn how to master this essential skill… Are these reactions are redox reactions? The most important step is identifying whether or not a redox reaction is actually. Clarification on how to balance redox reactions.

However, the crux here is to a hang of how it is done.

Refer to the original worksheet for. Read on to learn how to master this essential skill… Balancing redox reactions worksheet 1. Reactant that is the reducing agent: Break the reaction into two half that is oxidation half and reduction half. We will demonstrate this method with an example so as to. Guidelines for balancing redox equations. The worksheet is an assortment of 4 intriguing pursuits that will enhance your kid's knowledge and abilities. In this redox worksheet, students learn how to balance equations. Balancing redox reactions can be a nightmare for a student trying to pass a chemistry examination. Balance o by adding h2o and then balance h atoms using one of the following methods: Oxidation/reduction (redox) reactions can be balanced using the oxidation state changes, as seen in the previous example. Worksheet # 5 balancing redox reactions in acid and basic solution balance each half reaction in basic solution.

Savesave balancing redox reactions worksheets 1 & Are these reactions are redox reactions? This worksheet shows you another method. That will not create a problem. Thereafter, we balance both the parts of the reaction separately.

Balancing Redox Reactions Worksheet Balancing Redox Reactions Worksheet 1 Balance Each Redox Reaction
Balancing Redox Reactions Worksheet Balancing Redox Reactions Worksheet 1 Balance Each Redox Reaction from demo.dokumen.tips
Balancing redox reactions worksheet 1. We will demonstrate this method with an example so as to. The worksheet is an assortment of 4 intriguing pursuits that will enhance your kid's knowledge and abilities. This is called a disproportionation, where the same species is both oxidized and reduced in one redox. Refer to the original worksheet for. Examples of how to balance redox reactions in acids and bases are given as well as directions for the procedure. Oxidation/reduction (redox) reactions can be balanced using the oxidation state changes, as seen in the previous example. For each ½ reaction, balance all elements other than o and h as you would in a normal chemical equation.

Balancing a redox reaction in either acidic or basic medium.

Balance everything except h and o by inspection. Balancing equations worksheet and key 7 23 09. Be able to separate a redox reaction. The most important step is identifying whether or not a redox reaction is actually. At this point, you need to begin balancing hydrogen atoms by adding hydrogen ions (h+) to one side of. However, the crux here is to a hang of how it is done. Useful for igcse chapter redox reactionsfull description. Separate the process into half reactions. Redox reactions are essential to the basic functions of life such as photosynthesis and respiration.3 x research source balancing a redox reaction has a few more steps involved than balancing a regular chemical equation. Refer to the original worksheet for. Start studying balancing redox reactions. Some of the worksheets below are redox reactions worksheets, useful trick to help identify oxidation and reduction, step by step guide to balance any redox equations, explanation of oxidation, reduction, oxidizing agent, reducing agent and rules for assigning an oxidation number Steps for balancing redox reactions with the ½ reaction method split the reaction into an oxidation ½ reaction and a reduction ½ reaction.

634 chapter 20 redox reactions chapter 20 what you'll learn you will examine the. Balancing redox reactions can be a nightmare for a student trying to pass a chemistry examination. Examples of how to balance redox reactions in acids and bases are given as well as directions for the procedure. (if no ions are present, finish balancing the equation by inspection. Steps for balancing redox reactions with the ½ reaction method split the reaction into an oxidation ½ reaction and a reduction ½ reaction.

Worksheet To Teach Balancing Equations Redox Reactions In Acidic
Worksheet To Teach Balancing Equations Redox Reactions In Acidic from s3.studylib.net
Balancing a redox reaction in either acidic or basic medium. We will demonstrate this method with an example so as to. The worksheet is an assortment of 4 intriguing pursuits that will enhance your kid's knowledge and abilities. (if no ions are present, finish balancing the equation by inspection. Examples of how to balance redox reactions in acids and bases are given as well as directions for the procedure. 634 chapter 20 redox reactions chapter 20 what you'll learn you will examine the. Check to see that each element is. Oxidation number method for balancing redox equations.

For each ½ reaction, balance all elements other than o and h as you would in a normal chemical equation.

In the case of an acidic medium reaction: Redox reactions are essential to the basic functions of life such as photosynthesis and respiration.3 x research source balancing a redox reaction has a few more steps involved than balancing a regular chemical equation. The combination of redox and balancing chemical equations is enough to strike fear into the heart of any chemistry student. The most important step is identifying whether or not a redox reaction is actually. Balancing redox reactions worksheet 1. We will demonstrate this method with an example so as to. The worksheet is an assortment of 4 intriguing pursuits that will enhance your kid's knowledge and abilities. Something is oxidized, and something else is reduced. A balanced chemical equation accurately describes the quantities of reactants and products in chemical reactions. Useful for igcse chapter redox reactionsfull description. A worksheet that helps with balancing redox reaction with answer to help understand. Oxidation numbers are either real charges or formal charges which help chemists keep track of. 634 chapter 20 redox reactions chapter 20 what you'll learn you will examine the.